
针对城市黑臭水体与富营养化水环境,利用微纳米气泡强化曝气、原位氧化与微生物修复,在不额外投加化学药剂的前提下,探索溶解氧恢复、恶臭控制与水质改善的系统路径。
该方向是课题组“面向城市与流域场景的环境治理主线”:在无需大剂量化学药剂的前提下,通过微纳米气泡强化曝气与原位氧化,为黑臭水体修复提供一套以 DO、ORP 与恶臭控制为抓手的低能耗技术路线,并兼顾现有管网与水系的工程约束。
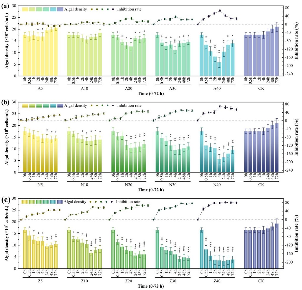
研究表明,空气、氮气和臭氧微纳米气泡对水中小球藻进行短暂原位处理(5-40 min)后均能显著抑制藻类生长。处理后 120 h,平均藻密度为 8.12-17.63×10^6 cells/mL,较对照组平均抑制率为 24.17%-63.09%,且抑制作用随处理时间延长逐步增强。O3 MNBs 抑藻效果最优,40 min 处理并静置 24 h 后除藻率最高可达 81.10%,分别较 air 与 N2 气源高 21.49% 和 22.79%。
研究表明,不同气源(空气、氮气、臭氧)微纳米气泡短时原位处理(5-40 min)均可显著抑制小球藻生长。处理后 120 h,平均藻密度为 8.12-17.63×10^6 cells/mL,较对照组平均抑制率为 24.17%-63.09%,并随处理时间增加而持续增强。O3 MNBs 表现最优,40 min 处理并静置 24 h 后除藻率达到 81.10%,较 air 与 N2 分别提高 21.49% 与 22.79%。
基于加压溶气释气法生成的高密度 MNBs 进入水体后可增强细胞-气泡接触,气泡溃灭产生微流、压力波、微射流与 ROS,对藻细胞形成物理-化学协同作用。SEM 结果显示细胞表面发生明显收缩、破裂及碎片化;同时 ·OH、H2O2、·O2− 诱导氧化胁迫,导致 SOD、CAT、类胡萝卜素、MDA 分别增加 88%、113%、11%、67%,并使叶绿素 a、b 分别下降 19% 与 45%,最终抑制藻细胞持续生长。